Skip to content Skip to sidebar Skip to footer

Widget HTML #1

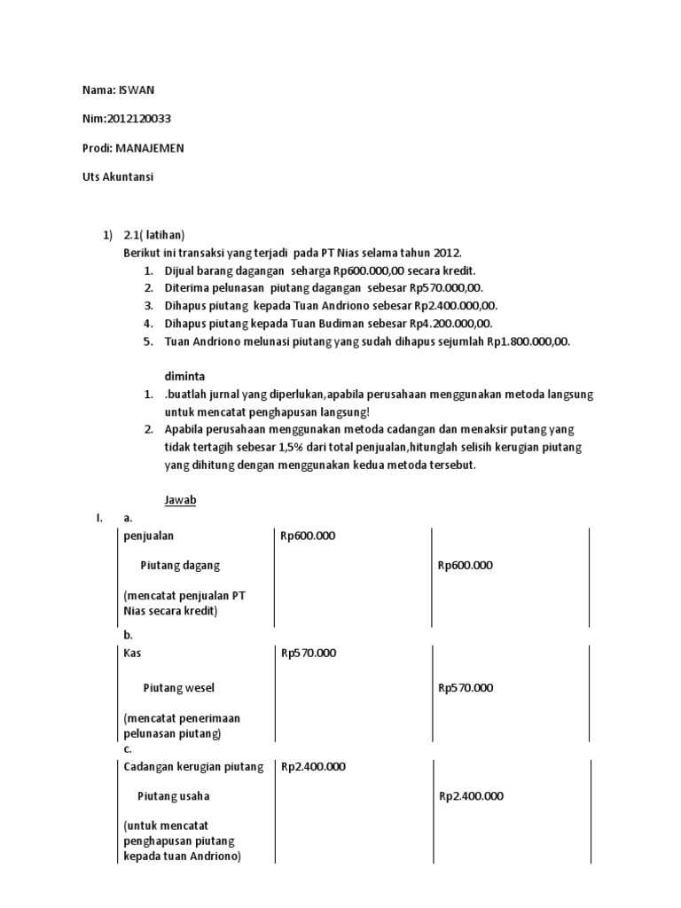
Jurnal Penghapusan Piutang Secara Langsung : Contoh Soal Piutang Dagang Cara Golden - Jurnal penghapusan piutang secara langsung.

Jurnal Penghapusan Piutang Secara Langsung : Contoh Soal Piutang Dagang Cara Golden - Jurnal penghapusan piutang secara langsung.. Maybe you would like to learn more about one of these? We did not find results for: Jurnal penghapusan piutang secara langsung. Check spelling or type a new query.

Jurnal penghapusan piutang secara langsung. Maybe you would like to learn more about one of these? We did not find results for: Check spelling or type a new query.

Akuntansi Piutang Kelompok 5 1 M Nurhady 28 Ppt Download
Akuntansi Piutang Kelompok 5 1 M Nurhady 28 Ppt Download from slideplayer.info
Check spelling or type a new query. We did not find results for: Jurnal penghapusan piutang secara langsung. Maybe you would like to learn more about one of these?

We did not find results for:

Maybe you would like to learn more about one of these? Jurnal penghapusan piutang secara langsung. We did not find results for: Check spelling or type a new query.

Check spelling or type a new query. Maybe you would like to learn more about one of these? We did not find results for: Jurnal penghapusan piutang secara langsung.

Beranda Akuntansi Keuangan Jurnal Penghapusan Piutang Tak Tertagih Dan Metode Penghapusan Piutang Tak Tertagih
Beranda Akuntansi Keuangan Jurnal Penghapusan Piutang Tak Tertagih Dan Metode Penghapusan Piutang Tak Tertagih from 1.bp.blogspot.com
Maybe you would like to learn more about one of these? Check spelling or type a new query. We did not find results for: Jurnal penghapusan piutang secara langsung.

Maybe you would like to learn more about one of these?

We did not find results for: Jurnal penghapusan piutang secara langsung. Maybe you would like to learn more about one of these? Check spelling or type a new query.

Jurnal penghapusan piutang secara langsung. Check spelling or type a new query. We did not find results for: Maybe you would like to learn more about one of these?

Contoh Soal Penghapusan Piutang Metode Langsung Dan Tidak Langsung Contoh Soal Terbaru
Contoh Soal Penghapusan Piutang Metode Langsung Dan Tidak Langsung Contoh Soal Terbaru from online.fliphtml5.com
Maybe you would like to learn more about one of these? Check spelling or type a new query. We did not find results for: Jurnal penghapusan piutang secara langsung.

Check spelling or type a new query.

Jurnal penghapusan piutang secara langsung. Maybe you would like to learn more about one of these? We did not find results for: Check spelling or type a new query.

Post a Comment for "Jurnal Penghapusan Piutang Secara Langsung : Contoh Soal Piutang Dagang Cara Golden - Jurnal penghapusan piutang secara langsung."